新闻资讯
单细胞蛋白组技术对比: CyTOF和IsoPlexis如何评估CAR-T细胞治疗效果
- 分类:华盈视角
- 作者:
- 来源:
【概要描述】目前CAR-T细胞已经成为多种恶性B细胞淋巴瘤治疗的标准方案。但是只有大约30%-40%的病人临床受益,仍有60%的此类病人在治疗后复发或者难以治疗。所以如何评价CAR-T细胞的治疗效果,如何预测患者应答非常重要。
单细胞蛋白组技术对比: CyTOF和IsoPlexis如何评估CAR-T细胞治疗效果
【概要描述】目前CAR-T细胞已经成为多种恶性B细胞淋巴瘤治疗的标准方案。但是只有大约30%-40%的病人临床受益,仍有60%的此类病人在治疗后复发或者难以治疗。所以如何评价CAR-T细胞的治疗效果,如何预测患者应答非常重要。
- 分类:华盈视角
- 作者:
- 来源:
- 发布时间:2022-06-16 17:37
- 访问量:
目前CAR-T细胞已经成为多种恶性B细胞淋巴瘤治疗的标准方案。但是只有大约30%-40%的病人临床受益,仍有60%的此类病人在治疗后复发或者难以治疗。所以如何评价CAR-T细胞的治疗效果,如何预测患者应答非常重要。虽然有很多系统性的筛选策略可以发现这样的指标,然而最直接的是从CAR-T细胞的表型和功能入手。能够反映一个细胞状态的莫过于其表达的蛋白。蛋白层面要比RNA更能反映出细胞的真实状态。因为细胞的异质性,从单细胞维度揭示CAR-T细胞的蛋白变化才能够精准的找到与治疗效果相关的关键细胞亚型和分子信号。今天就为大家分享2个利用不同单细胞蛋白组技术揭示与患者应答相关的关键CAR-T细胞指标。
| 质谱流式(CyTOF)揭示anti-PD1联合治疗增加CAR-T细胞的活性指标
研究者对12名CAR-T治疗后复发和难治的病人采用了anti-PD1联合治疗,结果发现了其中4名患者获得临床受益。为了找到患者预后的指标,研究者收集了12名病人的PBMC样本,利用CyTOF分析了39个蛋白marker,还包括一个CAR抗体,用来区分灌输的CAR-T细胞和其他非CAR-T细胞[1]。CAR+的T细胞可以聚类为29个不同的clusters。比较应答和非应答患者,发现了6个clusters具有显著差异。在应答组中,CAR-T细胞高表达CD26, CD127, CD69, T-bet, CXCR5, 还有一些抑制性受体(LAG-3, Tim-3, CTLA-4),并且低表达T细胞耗竭型的marker,例如Granzyme K, TOX, EOMES, CD39。这些结果说明了应答患者中CAR-T细胞会低表达一些耗竭型的T细胞marker。
除此之外,研究者还分析了基线期和治疗后的差异,发现了有一簇亚群在治疗后的应答组中显著增加,这群CAR-T细胞主要表达CD127, CD27, TCF1,而低表达耗竭型的marker PD-1, TOX, Granzyme K。总之,在anti-PD1和CAR-T联合治疗后有应答患者中,表达激活和分化marker的T细胞会增加,而耗竭型marker表达的T细胞会减少。这些差异的细胞亚群或许可以作为患者预后的潜在标志物。

| Isoplexis单细胞功能蛋白组揭示CAR-T细胞多功能性与患者预后显著相关
T细胞杀伤肿瘤主要依赖于其分泌的细胞因子,如果可以检测单个活的CAR-T细胞分泌细胞因子的能力,要比CyTOF仅仅检测细胞表面或内部的分子更能体现CAR-T细胞的真实效能。Isoplexis单细胞功能蛋白组可以最多对单个细胞分泌的32种细胞因子实施精确多重检测。同时提供多个免疫类的Panel可供选择,包括适应性、天然应答和炎症类的因子等。这些因子富含T细胞效能分子,可以对T细胞进行精确的功能评估。目前Isoplexis单细胞功能蛋白组已经成为评价CAR-T细胞效能的关键指标。
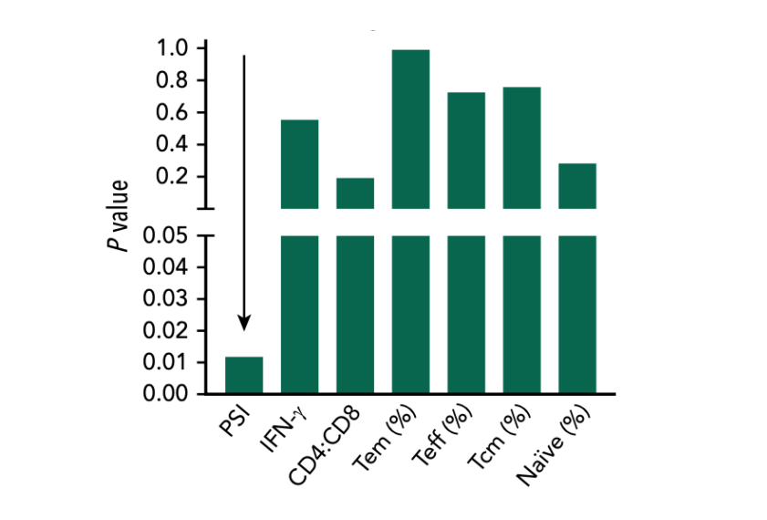
同样是CAR-T在B细胞淋巴瘤中的应用研究,为了评估CAR-T对非霍奇金淋巴瘤(NHL)患者的治疗效果,研究者对源自20名患者的CAR-T细胞体外和靶细胞刺激之后,对刺激后的CAR-T细胞进行Isoplexis单细胞功能蛋白组检测,通过得到的多功能性指数(PSI)量化灌输前CAR-T细胞多功能性。之后与CAR-T治疗后患者的恶预后进行相关性分析,结果发现了应答组中CAR-T细胞的PSI显著高于无应答组。同时治疗之后不良事件严重的患者中CAR-T细胞的PSI也显著增加。因此CAR-T细胞的PSI可以预测治疗效果及产生的不良事件[2]。

对比分析其他CAR-T细胞产品的指标,例如CD4和CD8的比例,IFN-γ的浓度,各类型T细胞的占比等,结果发现了只有PSI与CAR-T细胞治疗的患者预后具有显著相关性。

最后研究者分别分析了CD4+和CD8+ CAR-T细胞的PSI和预后的关系,发现只有CD4+ CAR-T细胞的PSI具有显著相关性。并且发现在应答组中引起CD4+ CAR-T细胞PSI显著增加的因子是Granzyme B、IL-17A、IL-8、MIP-1α。最后通过联合灌输前CAR-T细胞PSI和灌输后体内的峰值含量可以显著区分患者应答和无应答。

| 总结与讨论
以上两项研究通过不同的单细胞蛋白组策略分析了CAR-T细胞的效能与疗效的关系。其实两种单细胞蛋白组学是在不同的维度上解释细胞的异质性。CyTOF主要是对细胞的表型进行表征,可以同时分析40多种表面或胞内的蛋白,主要是以这些marker分析关键的细胞亚群。而Isoplexis是直接检测单个细胞分泌的功能性细胞因子,主要是表征的细胞亚群的功能。因此在对CAR-T细胞进行效能或质量评估时,兼顾两种技术带来的表型和功能上的分析结果,可以更加全面的对CAR-T细胞产品进行评估。
华盈生物可以同时提供CyTOF和Isoplexis单细胞蛋白组学服务。
| 参考文献
1. Chong EA, Alanio C, Svoboda J, Nasta SD, Landsburg DJ, Lacey SF et al. Pembrolizumab for B-cell lymphomas relapsing after or refractory to CD19-directed CAR T-cell therapy. Blood. 2022;139(7):1026-1038.
21. Rossi J, Paczkowski P, Shen YW, Morse K, Flynn B, Kaiser A et al. Preinfusion polyfunctional anti-CD19 chimeric antigen receptor T cells are associated with clinical outcomes in NHL. Blood. 2018;132(8):804-814.
地址:上海市闵行区绿洲环路396弄5幢4层
电话:400-869-2936,021-33938791
邮箱:support@wayenbiotech.com
传真:021-33938792
QQ:2120485725
战略合作
战略合作
| Full Moon | RayBiotech | CDI | IZON | Bio-Rad | R&D Systems | Akoya | 南模生物 | 欧易生物 | 上海实验动物研究中心 | 美吉生物 | 麦特绘谱 |
特别说明:本网所有网页均为华盈生物原创信息,转载必须征求华盈生物同意,并同时注明本网名称及网址。
专利代码